O interesse em saber como as próprias moléculas da natureza podem ser transformadas em ferramentas úteis levou os cientistas a desenvolver novos materiais “inteligentes” feitos a partir delas. Quina Alcalóides – Uma família de compostos vegetais que já foi valorizada no tratamento da malária e de doenças cardíacas. Esses minúsculos objetos agem quase como computadores químicos, brilhando ou mudando de cor para revelar a presença de certas substâncias.
A pesquisa foi conduzida por Nicola Agius e pelo professor David Magri, da Universidade de Malta, e por Catherine Ashton e pela Dra. Helen Wilcock, da Universidade de Loughborough. Seus trabalhos publicados na revista Avanços RSCMostra como moléculas inspiradas na natureza podem ser reprojetadas em materiais inteligentes capazes de detectar minerais essenciais à saúde humana.
O professor Magri disse que a equipe “demonstrou polímeros fluorescentes baseados em produtos naturais como materiais inteligentes de origem sustentável”, destacando seu objetivo de desenvolver tecnologias de detecção eficazes e ambientalmente responsáveis.
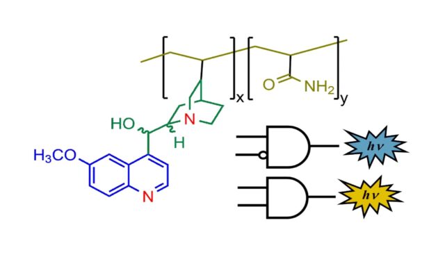
A equipe do professor Makri era mista Quina Os alcalóides – quinidina, quinina, cinconina e cinconidina – formam quatro novos polímeros com a acrilamida química compatível com a água. Cada polímero é inimaginavelmente pequeno, milhares de vezes mais fino que um fio de cabelo humano, mas brilha com uma luz azul vívida sob luz ultravioleta, um tipo de radiação invisível que torna os objetos brilhantes visíveis aos humanos. Esta fluorescência mostra que o brilho natural dos alcalóides é preservado mesmo depois de serem ligados a uma longa cadeia polimérica – construída pelo encadeamento de muitas moléculas pequenas.
Durante os testes de laboratório, os polímeros se comportaram como minúsculos circuitos lógicos. Eles queimam em condições ácidas, mas escurecem quando sais como cloreto, brometo ou iodeto são adicionados. Quando o ácido e o iodeto estavam juntos na água, a substância passou de incolor para amarela, realizando efetivamente uma operação “E” – um termo lógico emprestado da computação que significa que ambas as condições devem ser atendidas. Essa mudança visível torna a detecção do iodeto tão fácil quanto observar a mudança de cor do líquido.
O professor Magri explicou que o iodeto é um mineral essencial para a saúde humana, ajudando na prevenção de doenças relacionadas à tireoide, como o bócio. “Os departamentos governamentais de saúde podem considerar esta tecnologia útil para garantir que os fabricantes de alimentos e bebidas sigam diretrizes rigorosas para o teor de iodeto na água potável e nos produtos alimentares”, disse ele.
A mudança de cor, descobriu a equipe, vem de uma atração elétrica sutil chamada interação bi-ânion. Em termos simples, é uma atração fraca, mas importante, entre os íons iodeto carregados negativamente e as regiões carregadas positivamente dentro do polímero. Este puxão suave muda a forma como os eletrões se movem dentro da macromolécula, fazendo com que a luz seja absorvida e refletida de forma diferente – a cor que os nossos olhos vêem no amarelo.
Curiosamente, o QuinaOs polímeros baseados em nanopartículas revelaram-se mais responsivos do que suas versões mais simples e de molécula única. Eles detectaram rapidamente o iodeto, mesmo em pequenas quantidades. Isso ocorre porque o ambiente carregado do polímero amplifica esses efeitos elétricos sutis, permitindo que as reações químicas sejam amplificadas e facilmente observadas.
Igualmente importante, os investigadores confirmaram que a luminescência da quinidina e dos polímeros de quinina era tão intensa como as moléculas naturais originais. Em outras palavras, transformá-los em polímeros não diminuiu seu brilho. A fluorescência azul única do quinino – há muito utilizada na fotoquímica para medir a emissão de luz – é tão brilhante nestes novos materiais como na natureza.
Além do laboratório, este trabalho aponta para uma ideia mais ampla: a de que a química pode ser usada para imitar a lógica de tomada de decisão dos computadores. Um conceito chamado lógica molecular utiliza mudanças na luz ou na cor, semelhante ao que a eletrônica digital faz. Ao converter insumos químicos simples, como acidez ou concentração de sal, em resultados de cores visíveis, esses materiais inteligentes poderão formar a base de futuros sensores para testes médicos, monitoramento ambiental ou sistemas de computação em escala molecular.
Olhando para o futuro, Magri e a sua equipa esperam aprofundar a sua compreensão de como estas interações moleculares produzem efeitos visuais tão vívidos. Eles também planejam adaptar a mesma abordagem para detectar outros íons biologicamente ou ambientalmente importantes. “Atualmente estão em andamento estudos para compreender melhor essas interações supramoleculares”, explicaram os pesquisadores – como as moléculas se organizam e interagem sem formar ligações químicas diretas. Seu trabalho atual reflete um movimento crescente na química em direção a materiais inteligentes e sustentáveis que aprendem com a natureza, mas atendem às necessidades modernas.
Nota de diário
Ágio, Nicola’; Ashton, Catherine J.; Wilcock, Helen; e Macri, David C. “Copolímeros alcalóides Cinchona como portas colorimétricas e lógicas para inibição fluorimétrica e detecção de iodeto.” Avanços RSC, 2025. DOI: https://doi.org/10.1039/d5ra01281c
Sobre os professores
Nicolau Agius Estudando portas lógicas poliméricas fluorescentes baseadas em produtos naturais, o professor David C. Concluiu seu bacharelado e mestrado em química por meio de pesquisa com Magri. Ele ganhou experiência no setor por meio de estágios na Trelleborg Roof Solutions e na Smart Materials Ltd., uma start-up de espuma oxidativa. Ele ingressou no Grupo Calvino como estagiário, pesquisando redes de polímeros responsivas como materiais inteligentes reversíveis de duplo estímulo. Suas realizações acadêmicas incluem o Dean’s Award for Postgraduate Excellence, o Medichem Prize for Organic Chemistry e o Torrent Prize for Analytical Chemistry. Nicola’ está iniciando polímeros que mudam de forma na Universidade de Malta, fazendo seu doutorado em Metamateriais.

Dra. Ele é Técnico Sênior de Pesquisa Bioquímica no Lancaster Environmental Center da Lancaster University. Ele completou um mestrado em Química na Universidade de Lancaster e um doutorado em Engenharia Química e de Materiais na Universidade de Loughborough. Seu doutorado concentrou-se no desenvolvimento de ressonância magnética macromolecular e agentes de imagem óptica. Após uma mudança regulatória, Katie agora trabalha em bioquímica, analisando proteínas e enzimas que são fundamentais para o mecanismo de fotossíntese e contribuindo para tornar as culturas de feijão-caupi e soja mais produtivas e resilientes ao clima.

Helen Wilcock Ele é professor sênior de materiais na Universidade de Loughborough, liderando um grupo diversificado e interdisciplinar focado no controle de propriedades de polímeros por meio do ajuste de arquitetura e funcionalidade. A pesquisa de Helen concentra-se no desenvolvimento de partículas poliméricas e nanocompósitos, particularmente para aplicações de detecção e imagem. Ele tem vasta experiência de trabalho na indústria e fez parte da equipe que ganhou o RSC Industry-Academia Collaboration Award em 2018. Ele é presidente do Macrogroup UK – Royal Society of Chemistry (RSC) e Society of Chemical Industry (SCI) Pure and Applied Macromolecular Chemical Group.

David Macri é professor da Universidade de Malta e lidera um grupo de pesquisa que desenvolve moléculas e materiais inteligentes baseados em lógica. Ele recebeu seu bacharelado com honras (4 anos) e doutorado pela Western University em Londres, Ontário, Canadá e é Prof. AP De Silva foi pesquisador de pós-doutorado na Queen’s University Belfast, na Irlanda do Norte. Depois de quatro anos lecionando no Canadá na Universidade da Ilha do Príncipe Eduardo, na Ontario Tech University e na Acadia University, ele se mudou para o arquipélago da República de Malta, no Mar Mediterrâneo. Ele recebeu duas vezes o Prêmio Malta de Inovação Científica. Às 8 horasO Conferência Internacional sobre Sensores Moleculares e Portas Lógicas Moleculares em Xangai, China, em outubro de 2025, ele recebeu o Prêmio Czarnik Emerging Investigator.



